
表面粗糙度,Surface Roughness,指的是加工表面存在的細小間距和微小峰谷的不平整度,通常被定義為兩個波峰值或者兩個波谷值之間的微小距離,屬于微觀幾何形狀誤差,表面粗糙度越小,則越光滑。
表面粗糙度的評定方法
表面粗糙度常用的評定參數是Ra,此外還有Rq、Rz、Rmax、Rsm等。Ra是粗糙度平均值,Rq是均方根,Rz是粗糙度深度平均值,Rmax是最大粗糙度深度,Rsm是輪廓元素間平均間距。
幾大參數的區別
知道了表面粗糙度的評定參數,接下來我們具體看一下這幾個數值之間的區別吧。
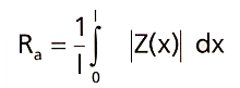
Ra:粗糙度輪廓縱坐標絕對值的算術平均值。

Rq:粗糙度輪廓縱坐標的均方根平均值。


Rz:單個粗糙度深度Rzi連續采樣長度的算術平均值。

Rmax:是評定長度內Rzi的最大值。

Rsm:粗糙度輪廓元素之間間距的算術平均值。


表面粗糙度的影響
1、表面粗糙度影響零件的密封性。粗糙的表面之間無法嚴密地貼合,氣體或液體通過接觸面間的縫隙滲漏。
2、表面粗糙度影響配合性質的穩定性。
3、表面粗糙度影響零件的抗腐蝕性。表面粗糙易使腐蝕性氣體或液體通過表面的微觀凹谷滲入到金屬內層,造成表面的腐蝕。
4、表面粗糙度影響零件的耐磨性。表面越粗糙,配合表面間的有效接觸面積就越小,壓強也就越大,磨損比較快。
幾種常見機器設備的表面粗糙度值
· 一般車床表面粗糙度為Ra25~Ra1.6
· 鉆床用于鉆孔表面粗糙度為Ra80~Ra20,用于擴孔表面粗糙度為Ra10~Ra5,用于鉸孔表面粗糙度為Ra5~Ra1.25
· 銑床表面粗糙度為Ra6.3~Ra1.6
· 刨床表面粗糙度為Ra25~Ra1.6
· 磨床表面粗糙度為Ra0.8~Ra0.1
DR160/DR300高精度粗糙度儀


應用范圍:對多種機械加工零件表面的粗糙度進行測量,包括平面、斜面、外圓柱面,曲面,小孔,溝槽及車軸等。
工作原理:通過測針在被測工件上的移動感應出對應的輪廓曲線,通過對輪廓進行分析得出不同的粗糙度參數。
產品優勢:
·DR160一體化設計,體積小,重量輕,使用方便
·DR300主機和驅動器分離,可以滿足更多測試需求
·采用DSP芯片控制和數據處理,速度快,功耗低
·兼容ISO、DIN、ANSI、JIS多個國家標準
·連續工作時間大于20小時
·可存儲100組原始數據及波形
·實時時鐘設置及顯示,方便數據記錄及存儲
·節電功能:自動休眠、自動關機
·可靠防電機走死電路及軟件設計
·顯示測量信息、菜單提示信息、錯誤信息及開關機等各種提示說明信息
·中/英文語言選擇
·可連接電腦和打印機(另購)
·打印全部參數或打印用戶設定的任何參數
·可選配藍牙功能
·可選附件:小孔/曲面/深槽傳感器,加長桿,傳感器保護套,測量平臺
·測量范圍


地址:北京市海淀區中關村紫金數碼園3號樓709室
網站:www.b0okingbuddy.com
電話:010-59796778
電郵:office@dailyaid.com.cn
傳真:010-62662785
郵編:100190
投訴電話:010-62006678
掃一掃關注我們
企業抖音號
電話:021-61170819/20-802
傳真:021-61170819
地址:上海市寶山區聯誼路398號顧眾灣產業園1號樓1樓166-1室
郵編:200431
電話:022-86570798
傳真:022-86570798
地址:天津市北辰區小街新苑路融創東岸名郡
電話:029-89195270
傳真:029-89195271
地址:陜西省西安市蓮湖區漢城路旭弘同德國際C座1418室
電話:028-84313165
傳真:028-84313165
地址:四川省成都市成華區玉雙路10號13幢1單元9樓35號(中國測試技術研究院內)
Tel: +86-10-5979 6778 ext 207
Fax: +86-10-6266 2785
Email: market@dailyaid.com.cn
電話:010-62662784
傳真:010-62662785
郵箱:office@dailyaid.com.cn